Un grupo de científicos de la Universidad British Columbia (Canadá), la NASA (EEUU), el INRAE (Francia) y la Universidad de Alcalá (España) estudiaron la desigualdad de los impactos del cambio climático en las diferentes regiones vitivinícolas del mundo y cómo varían sus efectos a lo largo del ciclo de la vid. La investigación cruzó datos climáticos y sus reacciones (en la floración, en la brotación, antes de la cosecha, etcétera) tomando en consideración 500 variedades de uva, a nivel global. Al comparar los efectos de las perturbaciones de una región del mundo con otra, se observó que Europa ha sufrido los cambios más importantes, con días con temperaturas superiores a 35°C en «aumento significativo» y las temperaturas más elevadas durante la maduración.
El cambio climático antropogénico tiene impactos desiguales en todo el mundo y a lo largo del año. Esta desigualdad representa un gran desafío para la adaptación humana, especialmente en los sistemas agrícolas y otros sistemas gestionados. Sin embargo, estimar los efectos más allá de una región es difícil, ya que las diferencias entre regiones dificultan saber qué períodos estacionales del clima comparar. Tanto el clima local como las decisiones de siembra de una región afectan los períodos relevantes para estimar los cambios climáticos.
En este estudio se utilizaron modelos fenológicos recientes con un conjunto de datos de fenología media de 500 cultivares (variedades) para estimar los cambios climáticos en regiones de cultivo de todo el mundo para un cultivo perenne importante que ha sido fuertemente afectado por el cambio climático: la vid para vino. Se examinaron una serie de métricas relevantes para los productores, incluyendo las temperaturas durante la brotación, a lo largo de la temporada de crecimiento, y las temperaturas y precipitaciones en torno a la cosecha.
Se encontró que el cambio climático ha impactado a todas las regiones, especialmente en cuanto a las métricas de calor durante toda la temporada de crecimiento (grados por día de crecimiento, temperatura máxima y días por encima de 35 °C). Sin embargo, los mayores cambios, por mucho, se presentan en las regiones europeas, donde el número de días calurosos (>35 °C) y las temperaturas máximas durante la temporada de crecimiento son varias desviaciones estándar más altas que antes del cambio climático antropogénico significativo.
Introducción
Los impactos del cambio climático en la agricultura son algunos de los más ampliamente documentados, y también de los más significativos, dada su relevancia para la seguridad alimentaria y económica. Los cambios documentados en la fenología y el rendimiento de los cultivos son ahora comunes, con informes crecientes de daños por eventos climáticos. Sin embargo, determinar la mejor manera de adaptar la agricultura a un clima cambiante requiere comprender los impactos relativos a lo largo de toda la temporada de crecimiento.
Estos factores de estrés cambiantes en los cultivos dependen en gran medida de la fenología del cultivo, ya que los riesgos por temperaturas bajas suelen aumentar cerca del momento de la brotación, mientras que las temperaturas altas pueden ser más peligrosas durante la floración y la fructificación. No obstante, predecir la fenología de los cultivos es complejo, especialmente al integrar la variación provocada por los climas locales y las decisiones de siembra. Por esta razón, la mayoría de los estudios actuales sobre los impactos del clima se han enfocado en regiones geográficas más pequeñas, aportando conocimientos relevantes a nivel regional o nacional, pero limitan la comprensión a mayor escala de cuán similar -o diferente- es el impacto del cambio climático en un cultivo a través de distintas regiones y durante toda la temporada de crecimiento. Las vides para vino ofrecen un estudio de caso potencialmente útil para examinar los impactos en distintas regiones y a lo largo del calendario anual de un cultivo perenne.
Dada su alta importancia económica, las datos e investigacines sobre cómo el cambio climático actual y proyectado afectará a este cultivo son abundantes, y los cambios previstos en las regiones vitivinícolas ya están en marcha. El cultivo de vid en regiones más cercanas a los polos ha aumentado en superficie y/o en diversidad de variedades plantadas. Al mismo tiempo, las regiones actuales de cultivo han documentado consistentemente cosechas más tempranas y niveles más altos de azúcar, ya que el calentamiento acelera el ciclo de desarrollo hacia períodos más cálidos que alteran el equilibrio azúcar-ácido en la fruta.
A pesar de esta creciente literatura, aún falta una visión global de cómo el cambio climático ha impactado las regiones vitivinícolas. Esto podría deberse en parte a la complejidad del cultivo de la vid. Las distintas variedades varían considerablemente en su fenología, y cada región planta una mezcla distinta de variedades, con más de 1.100 actualmente cultivadas en todo el mundo.
Además, aunque las regiones vitivinícolas se concentran generalmente entre los 35-50°N y los 30-45°S, presentan una gran variabilidad en su distribución, abarcando 5 continentes y terrenos diversos. Esto hace que sea difícil encontrar datos climáticos lo suficientemente consistentes como para comparar los cambios entre diferentes regiones. De hecho, son las zonas únicas donde se cultivan las vides, combinadas con las variedades plantadas, las que definen en gran medida el terroir, y determinan en parte la calidad del vino. A pesar de estos desafíos, el aumento de datos climáticos de resolución global, los datos globales de plantación de variedades de vid y los nuevos modelos fenológicos específicos por variedad hacen posible un estudio inicial de cómo el cambio climático ha transformado el terroir mundial.
Esta investigación analizó cómo han cambiado 10 métricas climáticas relevantes para los productores: desde temperaturas mínimas durante la latencia y alrededor de la brotación, hasta extremos térmicos durante la temporada de crecimiento, y temperaturas y precipitaciones durante la cosecha. Se compararon los resultados de las métricas tratando todas las regiones como si cultivaran la misma variedad, frente a la integración de la diversidad de variedades realmente cultivadas, combinando modelos fenológicos específicos por variedad con datos sobre las fenologías relativas de más de 500 variedades.
Dado el objetivo de una comparación global basada en métricas que requieren datos climáticos diarios (normalmente sólo disponibles a resolución fina para regiones específicas), la escala espacial es muy amplia (100 km), pero los resultados proporcionan la primera visión de la nueva realidad del cultivo de la vid en el Antropoceno (la época geológica actual caracterizada por el significativo impacto de la humanidad sobre el planeta Tierra).
Métodos
Se desarrollaron métricas climáticas para las regiones vitivinícolas del mundo que abarcan el ciclo anual de la planta a lo largo de un año calendario (Fig. 1), y se consideraron varios indicadores importantes, organizados en categorías principales. Para los agregados durante la temporada de crecimiento, se estimaron -desde la brotación hasta la cosecha- la temperatura media (Tmean) y los grados día de crecimiento (GDD, growing degree days, calculados con una temperatura base de 10 °C). También se analizaron -desde la brotación hasta la cosecha- las temperaturas altas mediante tres métricas: la temperatura máxima más alta (Tmax), el número de días en que la temperatura máxima superó los 35 °C (Tmax35) y los grados día de crecimiento calculados con una temperatura base de 30 °C (GDD30).
Dado que las condiciones en la cosecha pueden ser importantes para la calidad de la uva para vino, se consideró la temperatura mínima calculada a partir de los 30 días anteriores a la cosecha (Tmin), la precipitación total en el mes de la cosecha (PrecHarvest), y la precipitación total en el mes de la cosecha y el mes anterior (Prec2mo).
Finalmente, se incluyeron varias métricas relacionadas con temperaturas bajas durante el invierno y principios de primavera: la temperatura mínima más baja durante el período de latencia (calculada desde después de la cosecha hasta antes de la brotación, Tmindorm), la temperatura mínima más baja en los meses cercanos a la brotación (Tminbro, calculada entre los 30 días antes y los 30 días después de la brotación), y el número de días -entre los 30 días antes y los 30 días después de la brotación- en que la temperatura mínima estuvo por debajo de -6.7 °C (Tmin−6.7).
Se reportaron todas las métricas, excepto tres, en el texto principal. Se encontró que los valores distintos de cero para GDD30 y Tmin−6.7 eran poco frecuentes en la mayoría de las regiones. La precipitación en el mes de la cosecha más el mes anterior fue muy similar a la precipitación únicamente en el mes de la cosecha.
Para ajustar la fenología en cada región, se estimó la brotación (budburst) y el envero (veraison) utilizando datos globales de plantación de las regiones vitivinícolas del mundo, combinados con modelos fenológicos específicos por variedad. Estos modelos se basan en datos fenológicos de Europa (principalmente Francia y Alemania), donde los niveles de humedad son más altos y el riego es menos común que en otras regiones. Aunque estos modelos mostraron buen desempeño con datos fuera de muestra provenientes de viñedos irrigados en Napa y Davis, California, podrían ser menos precisos en muchas regiones con climas y regímenes de manejo diferentes.
El procedimiento (Fig. B) comienza utilizando estos modelos para caracterizar las fechas promedio de brotación y envero en cada una de las 620 regiones únicas (Fig. 2). Se calcularon promedios a partir de las fenologías proyectadas para cada año histórico (1970–1979) y para 12 variedades: 11 variedades comunes (Cabernet Sauvignon, Chardonnay, Chasselas, Garnacha tinta, Merlot, Monastrell, Pinot noir, Riesling, Sauvignon blanc, Syrah y Ugni blanc), que representan el 34,3 % de todas las hectáreas plantadas, y una variedad compuesta de maduración tardía simulada (LRC), compuesta por Fogarina, Lambrusco di Sorbara, Savvatiano, Verdelho tinto, Brun argenté, Amaral, Uva c ao y Verdicchio bianco. Estas 8 variedades que conforman la LRC representan solo el 3 % de las hectáreas plantadas.

La capa base del mapa proviene de Natural Earth, un sitio cuyos datos son de dominio público.
A continuación, se estimaron métricas climáticas basadas en dos escenarios varietales diferentes (utilizando las fenologías proyectadas de las variedades mencionadas anteriormente; ver también la Fig. B en el Texto S1). Primero, se estimaron las métricas como si todas las regiones hubieran plantado Pinot noir, a lo que en adelante se referirán como estimaciones sin diversidad varietal. Se seleccionó Pinot noir porque es la variedad de uva tinta de maduración temprana más ampliamente plantada (Fig. C en el Texto S1), y por tanto relevante en muchas regiones, además de ser de maduración temprana.
En segundo lugar, se estimaron las métricas climáticas ajustando -en la medida de lo posible- las plantaciones específicas de cada región. Se estimaron las ubicaciones geográficas de todas las regiones y se unificaron las sinonimias varietales. Para estimar la brotación y el envero de todas las variedades posibles dentro de una región, se utilizaron las fechas históricas proyectadas para las 11 variedades comunes, para las ocho variedades utilizadas en la construcción de la LRC, y para un enfoque combinado donde caracterizamos la fenología de otras variedades en relación con datos fenológicos estandarizados del INRAE Domaine de Vassal Grape Collection (ver Fig. B en el Texto S1 para más detalles sobre este enfoque). El Domaine de Vassal ha registrado datos fenológicos para cientos de variedades, estandarizados con respecto a la variedad común Chasselas, una variedad de maduración relativamente temprana (es decir, las fechas de eventos fenológicos se registran como el número de días en relación con Chasselas para ese año).
De los 1.237 nombres varietales únicos en los datos de Anderson, se lograron emparejar 562 con los nombres codificados del Domaine de Vassal. Estas variedades no emparejadas representaron el 11 % de todas las hectáreas.
Después de unificar todas las sinonimias varietales para las cuales teníamos datos del Domaine de Vassal (denotadas como Vassal a continuación), se estimaron las fechas de brotación y envero, estandarizadas con respecto a los datos del Domaine de Vassal. Por ejemplo, para estimar la brotación (budburst, BB) de una variedad dada en una región dada: primero, se proyectaron las fechas históricas (denotadas como Proj a continuación) para una variedad tardía bien medida (Cabernet-Sauvignon, Std1) y una variedad temprana bien medida (Chasselas, Std2). Segundo, se calculó el promedio de la brotación proyectada para Std1 y Std2. Tercero, se obtuvo la distancia registrada entre la brotación de la variedad objetivo (BBvar) y Std1 (Dist1), y Std2 (Dist2), según los datos del Domaine de Vassal. Finalmente, se estimó una fecha de brotación utilizando:
Se utilizó la misma ecuación para estimar el envero. Se estimó la cosecha como el envero +45 días, excluyendo un pequeño número de años específicos para ciertas variedades en ciertas regiones en los que la cosecha no ocurrió dentro de los 365 días posteriores a la brotación.
Con estas estimaciones del promedio de fechas de brotación y cosecha para todas las variedades en todas las regiones, se extrajeron un conjunto de métricas climáticas utilizando datos climáticos diarios desde 1951 hasta 2018.
Para estandarizar, se calculó la media y la desviación estándar (DE) antes de 1980 para cada celda de cuadrícula y luego se utilizaron esos valores para estandarizar todos los años posteriores a 1980 (lo que resultó en puntajes z, estandarizados con respecto a las condiciones locales previas a 1980). Se consideró 1980 como un punto de referencia relevante para definir el antes y después del cambio climático antropogénico según análisis globales.
Resultados
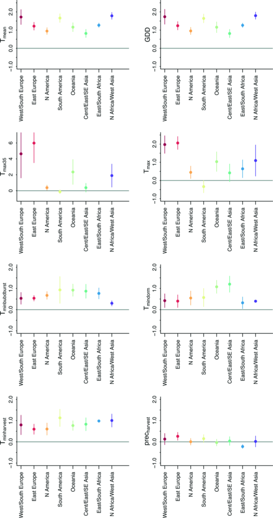
Para todas las métricas climáticas, las estimaciones fueron muy similares, ya sea que se incluyeran o no la diversidad varietal en las estimaciones fenológicas (ver Fig. 3), salvo por un ligero aumento en los Grados Día de Crecimiento (GDD) de la temporada de crecimiento en regiones con altos GDD y pequeños efectos en algunas métricas relacionadas con la cosecha. Para estas métricas, la diversidad varietal tendió a aumentar la temperatura mínima en la cosecha y a incrementar la precipitación (fila inferior de la Fig. 3), aunque generalmente solo en Europa Occidental/Sur.
Con base en esto, se reportaron los resultados restantes utilizando las métricas sin incluir la diversidad varietal, pero se presentaron los resultados para ambos casos en la Información Suplementaria (Tablas A–V en el Texto S1). Las temperaturas medias de la temporada de crecimiento aumentaron en todas las regiones del mundo en 1.3 unidades de DE, con un rango que va de 0.8 en Asia Central/Oriental/Sudoriental hasta 1.8 en África del Norte/Asia Occidental, lo que llevó a un cambio de escala similar en los GDD (Fig. 4). Estos cambios en unidades de DE se traducen en aumentos promedio de 96 GDD, con un máximo de 159 GDD en Europa Occidental/Sur (Fig. 5).

Se muestra la línea 1:1 y el error cuadrático medio (RMSE, también en unidades naturales).


Estos cambios fueron superados por los aumentos en las temperaturas máximas -especialmente en Europa- donde las temperaturas máximas durante la temporada de crecimiento aumentaron 2.1 unidades de desviación estándar (SD) en Europa del Este y 2 SD en Europa Occidental; lo que representa incrementos de 2.9 y 2.5 °C, respectivamente (Figuras 4 y 5). Los cambios en los días en los que se espera que las temperaturas sean demasiado altas para el crecimiento y desarrollo en áreas no irrigadas -días con más de 35 °C- muestran incrementos aún mayores: 6 SD en Europa del Este y 4.6 SD en Europa Occidental. Esto se traduce en aumentos de 0.6 y 1.1 días por temporada de crecimiento, ya que este tipo de eventos climáticos eran raros antes de 1980 (por lo tanto, aumentos aparentemente pequeños representan grandes incrementos en SD).
Los aumentos en las temperaturas mínimas durante el reposo invernal, la brotación y la cosecha fueron comparativamente menores. Las tres métricas mostraron un calentamiento de aproximadamente 1 °C (0.9 para invierno, 0.8 para brotación y 1 para cosecha; o 0.6 para invierno, 0.7 para brotación y 0.8 para cosecha en unidades SD). Los mayores aumentos ocurrieron en Asia Central/Este/Suroriental para las temperaturas mínimas invernales, con cambios de 1.2 SD o 2.2 °C.
La precipitación en los meses antes de la cosecha no cambió en promedio (0.04 SD, Figura 4), aunque algunas regiones tuvieron pequeños aumentos o disminuciones. África Oriental/Sudoriental disminuyó –0.2 SD (–3.8 mm), mientras que Europa del Este aumentó 0.3 SD (7.6 mm).
Aunque todas las regiones mostraron aumentos en la mayoría de las métricas de temperatura (media, GDD, temperaturas mínimas en invierno, cerca de la brotación y cosecha), la mayoría de las regiones presentan una mezcla única de cambios climáticos. Por ejemplo, los aumentos en la temperatura media fueron similares en las regiones de África del Norte/Asia Occidental (1.8 SD) y Europa del Sur/Occidental (1.7 SD), lo que se tradujo en cambios similares en GDD (1.8 y 1.7, respectivamente), pero para África del Norte/Asia Occidental -ya una de las regiones más cálidas para el cultivo (20.8 °C y 1716 GDD, antes de 1980)- estos cambios condujeron a variaciones mucho menores en las métricas de altas temperaturas y temperaturas mínimas, mientras que en la región más fresca de Europa del Sur/Occidental (17.4 °C y 1258 GDD antes de 1980) el calentamiento ha incrementado drásticamente las altas temperaturas (Figuras 4 y 5).
Discusión
Aunque el calentamiento generalmente incrementa las temperaturas mínimas más que las máximas, encontraron que los cambios en métricas relevantes para los cultivadores relacionadas con las temperaturas mínimas (por ejemplo, bajas temperaturas durante la brotación, cosecha y el reposo) fueron generalmente menores que las métricas relacionadas con el calor y las temperaturas máximas.
A nivel global, los mayores cambios están relacionados con aumentos en el calor durante la temporada de crecimiento, con muchas regiones que tienen temperaturas promedio y GDD totales de una o más desviaciones estándar superiores desde 1980, cuando el calentamiento antropogénico comenzó a acelerarse. Las métricas de extremos de calor (temperaturas máximas y días por encima de 35 °C) para regiones en Europa Occidental/Sur y Europa del Este mostraron los aumentos más grandes (de 2 a 4 desviaciones estándar), lo que sugiere un nuevo mundo para la viticultura europea que tiene pocas comparaciones con la viticultura europea de hace 40-50 años.
A nivel global, el calentamiento ha remodelado el clima del ciclo anual de la vid, pero la constelación exacta de cómo han cambiado las métricas resalta la variabilidad geográfica del cambio climático. La ubicación latitudinal norte de Europa (más alta que la mayoría de las regiones vitícolas del hemisferio norte) la posiciona para un calentamiento más extremo, ya que las latitudes norte se están calentando más, con incrementos en el calor veraniego posiblemente impulsados por cambios en los patrones de circulación atmósfera-océano y reducciones en las emisiones antropogénicas de aerosoles. En contraste, los resultados para Sudamérica muestran aumentos similares a Europa en temperaturas medias y GDD, pero pocos aumentos en el calor extremo (aunque estos resultados no incluyen la mayoría de las regiones montañosas).
Influencia de la diversidad de cultivares en los impactos del cambio climático
Diversas evidencias sugieren que cambiar a variedades de uva de maduración más tardía y más tolerantes al calor y la sequía debería aumentar la resiliencia en la viticultura. Sin embargo, considerando la fenología de más de 500 cultivares, se encontraron pocas diferencias en las métricas climáticas derivadas de considerar las variedades plantadas en una región versus asumir que todas plantan 100% Pinot noir. Estos resultados reflejan en parte una realidad actual de la viticultura: la mayoría de las regiones plantan una diversidad muy limitada de variedades. Debido a que la mayoría está dominada por un conjunto limitado de variedades ‘internacionales’, faltando variedades de maduración temprana y, aún más tardía, los datos sobre 500 cultivares rara vez cambiaron las métricas de dichas regiones. Solo las regiones europeas incluyen grandes proporciones de cultivares de maduración tardía, que es la única región donde las diferencias debidas a la diversidad de variedades fueron evidentes. Tales diferencias pueden volverse más evidentes conforme avance el cambio climático, haciendo que la concordancia -o discordancia- entre clima y variedad sea más notoria.
Debido a que la mayoría de las variedades de uva comparten una temporada de crecimiento común de primavera a verano que solo varía según el tiempo de brotación y cosecha de la variedad, el impacto de la diversidad varietal en una región aparecería principalmente en métricas relacionadas con el inicio o fin de la temporada. Las variedades también varían fuertemente, sin embargo, en su floración y en la maduración y se esperan mayores efectos de la diversidad regional con métricas relacionadas con estos dos eventos. Aunque la mayoría de los indicadores bioclimáticos actualmente usados para las uvas no incluyen estas métricas, son claramente críticas para el rendimiento y la calidad del cultivo y para el desempeño de las uvas durante extremos climáticos. Por lo tanto, considerar eventos fenológicos de mitad de temporada parece cada vez más relevante para la toma de decisiones de plantación y para entender los impactos del cambio climático.
La estimación de la importancia de la diversidad de cultivares también está limitada por los datos disponibles. Aunque los análisis repetidamente sugieren que la diversidad fenológica es crítica para una viticultura global resiliente ante el cambio climático, los análisis previos generalmente no la incluyeron o incluyeron solo un pequeño subconjunto de diversidad real debido al desafío de obtener datos fenológicos suficientes para calibrar modelos.
Adaptación humana de los sistemas agrícolas al calentamiento desigual a distintas escalas
Estos análisis destacan que Europa ha experimentado el cambio más severo en el calor veraniego, con GDD, días por encima de 35 °C y temperaturas máximas en la mayoría de los años ahora muy por fuera de lo que se experimentaba antes del calentamiento significativo. Los impactos de este nuevo clima más cálido incluyen menores rendimientos de uvas, daños por calor a las bayas y a la vegetación y una industria que está trabajando rápidamente para adaptarse. Ciertamente, los grandes productores comerciales utilizan análisis globales para determinar dónde potencialmente desplazar sus tierras de cultivo, pero dichos análisis también son importantes para los productores que trabajan para adaptarse localmente.
A medida que los productores prueban nuevos métodos para adaptarse localmente -desde mallas de sombra hasta nuevos portainjertos y variedades- y descubren qué funciona, otras regiones podrán tener un camino más claro hacia la adaptación cuando experimenten un calentamiento veraniego similar. Ya se están aprovechando la investigación y los ensayos entre regiones. Por ejemplo, los impactos generalizados de incendios en los viñedos que comenzaron primero en Australia llevaron al desarrollo de tecnologías y enfoques que pudieron implementarse rápidamente cuando California y otras regiones vinícolas del oeste de Norteamérica comenzaron a experimentar incendios similares, aunque las diferencias locales (por ejemplo, en la composición forestal) hacen que algunas adaptaciones sean menos transferibles. En estos casos, y de manera más general, compartir perspectivas regionales -por ejemplo, adaptaciones al calor en Italia o España que puedan beneficiar a la viticultura francesa- puede ser especialmente valioso.
El enfoque de esta investigación sugiere cómo los análisis globales pueden complementar los estudios regionales, proporcionando perspectivas sobre qué regiones están cambiando más rápido en respuesta al calentamiento antropogénico hasta la fecha, frente a cuáles están cultivando uvas en las condiciones más extremas. Esta perspectiva global establece las bases para comparar con análisis regionales y probar si los cambios son similares a través de las escalas o si destacan diferencias importantes. A medida que se disponga de más datos, estos estudios podrían proporcionar grandes conocimientos sobre cuestiones críticas para la adaptación de cultivos al cambio climático, incluyendo cómo el clima afecta la calidad, y cómo los eventos extremos versus las tendencias medias impactan los rendimientos y la resiliencia de los cultivos.
Texto completo de la investigación: AQUÍ
Autores: E. M. Wolkovich, Victor Van der Meersch (Universidad British Columbia, Canadá); Benjamin I. Cook (NASA Goddard Institute for Space Studies, Estados Unidos), Iñaki García de Cortázar-Atauri, Thierry Lacombe, Cécile Marchal (INRAE, Francia); Ignacio Morales-Castilla (Universidad de Alcalá, España).















