Cada año, en España se generan 2,5 millones de toneladas de residuos procedentes de los sarmientos sobrantes de las podas de vid. En un esfuerzo por darles una segunda vida, investigadores españoles han estudiado su potencial enológico, evaluando el uso combinado de sarmientos tostados (SEGs, por sus siglas en inglés), con técnicas de microoxigenación en vinos de la variedad Tempranillo. El análisis abarcó tanto el perfil sensorial como la composición química de los vinos, evaluándolos al momento del embotellado y después de seis meses de envejecimiento en botella.
La producción de vino de forma sostenible es una tendencia en los últimos años, dando más importancia a las técnicas de producción centradas en la minimización de residuos y el uso de los recursos. El siguiente estudio, publicado en la IVES Technical Review -realizado por investigadores de las Universidades de Valladolid y la de Castilla, en colaboración con la Bodega Pago de Jaraba de Albacete (España)– se evaluó la calidad de los vinos Tempranillo macerados durante 35 días con dos dosis diferentes de sarmientos tostados (SEGs, «Sarmientos – Enológicos – Granulados») y dos niveles de microoxigenación, analizados en el momento del embotellado y tras seis meses de envejecimiento.
Los vinos tratados mostraron un perfil sensorial más suave y armonioso, con notas bien integradas de tostado, vainilla, frutos secos y SEGs, que el vino control. Los compuestos fenólicos disminuyeron, excepto el trans-resveratrol, que aumentó principalmente con las dosis más altas de SEGs. En cuanto a los compuestos volátiles, la presencia de vainillina y guayacol en los vinos tratados fue especialmente notable, sobre todo después de seis meses en botella.
Contexto
En España, los sarmientos representan una gran cantidad anual de residuos, siendo de 2,5 millones de toneladas. Por otro lado, el mercado del vino está saturado y los vitivinicultores buscan continuamente formas de hacer destacar sus vinos, dando prioridad a la calidad final de los mismos. Por ello, no es de extrañar que se hayan dedicado notables esfuerzos a valorizar los sarmientos debido a su potencial enológico.
En este sentido, los sarmientos tostados (SEGs, «Shoots from vines – Enological – Granule») han surgido como una herramienta enológica innovadora para mejorar la calidad, la diferenciación y la sostenibilidad de los vinos. Aunque su uso aún no ha sido aprobado por la Organización Internacional de la Vid y el Vino (OIV9, se ha patentado su capacidad para modular la percepción del carácter verde, dando lugar a vinos más redondos y armoniosos.
Se han realizado varios estudios sobre la misma variedad de sarmiento que las uvas (Airén, Cabernet Sauvignon, Tempranillo, Malbec y Bonarda) utilizadas en un proceso de vinificación tradicional. Sin embargo, los efectos de la combinación de SEGs con otras técnicas enológicas siguen estando poco explorados. En este estudio se examinaron los efectos combinados de los SEGs y la microoxigenación en vinos Tempranillo, analizando su perfil sensorial y su composición química en el momento del embotellado y tras seis meses de envejecimiento en botella.
Enología y análisis de vinos
Las uvas de Tempranillo fueron despalilladas y estrujadas, y la vinificación se realizó según el protocolo establecido por la bodega. Los sarmientos de Tempranillo (TE) fueron podados y transformados en aditivos enológicos (SEGs). Las muestras se analizaron mediante múltiples técnicas para evaluar sus perfiles químico y sensorial. Los espectros visibles se analizaron mediante espectrofotometría ultravioleta-visible (UV-Vis), mientras que los compuestos fenólicos de bajo peso molecular se cuantificaron mediante cromatografía líquida de alta resolución con detección por matriz de diodos (HPLC-DAD). Los compuestos volátiles se extrajeron y analizaron mediante extracción con barra agitadora acoplada a cromatografía de gases-espectrometría de masas (SBSE-GC-MS).
También se realizó un análisis sensorial utilizando una ficha de cata adaptada. Se introdujo un nuevo descriptor, «SEGs» (asociado a la percepción sensorial de los sarmientos tostados). Los descriptores sensoriales se clasificaron en cuatro fases principales: visual (V), olfativa (O), gustativa (T) y taninos (astringencia/estructura).
Efecto en la composición química y el perfil sensorial de vinos tratados con combinaciones SEGs-MOX
Los resultados del análisis sensorial se presentan en la Figura 1, que destaca los descriptores más afectados por los tratamientos SEGs-MOX. Las Figuras 1c y 1d muestran las diferencias significativas en los vinos tratados tras seis meses de envejecimiento en botella, en comparación con sus propios perfiles en el momento del embotellado. El perfil sensorial de los vinos tratados se modificó significativamente, principalmente en el momento del embotellado (Figuras 1a y 1b).
Los vinos elaborados utilizando la combinación SEGs-MOX fueron más aromáticos que el control tanto en la fase olfativa como en la gustativa. Los catadores percibieron una mayor intensidad de notas «SEGs», tostadas y de frutos secos en los vinos elaborados con las dosis más altas de SEGs, mientras que los frutos rojos fueron más intensos en el vino control.
En cuanto a los taninos, se observó un notable aumento de la sedosidad en todos los vinos tratados con SEGs en comparación con el control. En cuanto al amargor, los vinos TE-12 no mostraron diferencias significativas con relación al control. Sin embargo, en los vinos TE-24, el amargor se redujo significativamente, lo que corrobora los resultados anteriores de que este aditivo enológico puede atenuar el amargor inicial y la sequedad de los vinos.

Tras seis meses de envejecimiento en botella:
- Los vinos TE-12 (Figura 1c) mostraron una mayor intensidad en los descriptores tostado_O, SEGs_O y SEGs_T cuando se aplicó el tratamiento LOTR (baja tasa de transferencia de oxígeno).
- No se observaron cambios significativos en las condiciones HOTR (alta tasa de transferencia de oxígeno).
- En los vinos TE-24 (Figura 1d), el perfil sensorial permaneció estable a lo largo del tiempo, aunque los catadores percibieron una mejor integración de los descriptores asociados al sarmiento.
En cuanto a los descriptores visuales, la evolución de los vinos SEGs-MOX fue coherente con la de los vinos envejecidos con otros tipos de madera, como el roble. El descriptor granate mostró diferencias significativas entre los vinos de control y los tratados, obteniendo los vinos tratados puntuaciones más bajas tras las aplicaciones de SEGs-MOX. Tras seis meses de envejecimiento en botella, la intensidad del granate disminuyó ligeramente en todas las muestras, independientemente de los SEGs o de la dosis de MOX.
En cuanto a las notas marrones, los tratamientos SEGs-MOX dieron lugar a un aumento de los valores de este descriptor, con los vinos TE-24 mostrando puntuaciones significativamente más altas, como era de esperar. Estos valores permanecieron estables durante los seis meses de envejecimiento en botella (Figuras 1c y 1d).
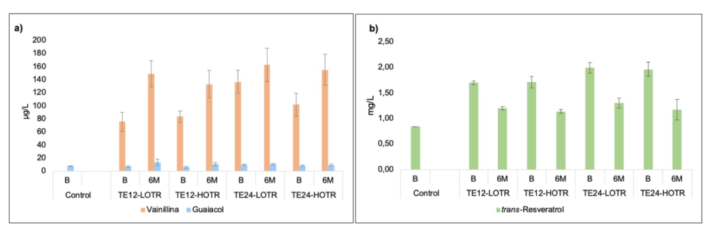
La composición química de los vinos se vio influenciada por el tratamiento SEGs-MOX (Figura 2). La vainillina se detectó en los vinos tratados desde el embotellado, siendo sus niveles superiores en los vinos TE-24 tras 6 meses de envejecimiento en botella y superando en todos los casos su umbral de percepción. El guayacol también aumentó durante el envejecimiento en botella y mostró concentraciones superiores a las del vino control, principalmente en TE12-LOTR. En cuanto a los compuestos fenólicos, todos los vinos tratados mostraron un aumento significativo del trans-resveratrol, con concentraciones ligeramente superiores en el momento del embotellado, alcanzando hasta 2 mg/L frente a 0,90 mg/L en el vino control.

En cuanto a los parámetros de color, en el momento del embotellado, el vino control mantuvo una intensidad de color significativamente mayor (Figura 3a), con una mayor contribución de los tonos rojos (Abs520%), y una menor contribución de los amarillos (Abs420%) y azules (Abs620%), que en los vinos SEGs-MOX, en los que la contribución de los tonos azules aumentó significativamente. La mayor intensidad de color en el primer mes de tratamientos coincide con estudios previos realizados con otros productos alternativos a la barrica.

En la Figura 3b, el vino control también mostró un mayor contenido en antocianos en comparación con los vinos SEGs-MOX, observándose los niveles más bajos en los vinos tratados con 24 g/L de SEGs. Esta reducción puede atribuirse a:
- la adsorción superficial de antocianinas monoméricas en los SEGs, y
- la formación de nuevos pigmentos estables, lo que provoca un cambio en la composición de las antocianinas.
A diferencia de otras maderas enológicas, los SEGs carecen de taninos hidrolizables, que normalmente ayudan a proteger los antocianos. Sin embargo, los taninos condensados presentes en los sarmientos de vid pueden contribuir a la estabilización del color con el paso del tiempo a través de su interacción con los antocianos3.
La disminución de antocianinas fue más pronunciada con dosis más altas de MOX (Figura 3b), aunque el efecto varió entre los distintos compuestos antociánicos. Tanto la cantidad de oxígeno como el modo en que se hace disponible son factores críticos. En los vinos TE-12 se observó una ligera tendencia: los vinos tratados con LOTR mostraron una menor pérdida de antocianos, lo que sugiere que HOTR podría causar una mayor degradación oxidativa. Esta pérdida de antocianos también se refleja en la reducción de la absorbancia a 520 nm (Figura 3a).
De acuerdo con lo anterior, aunque no se observó una tendencia clara en la composición química de los vinos, el uso de combinaciones SEGs-MOX reduce eficazmente el tiempo necesario de envejecimiento en botella. Aunque la pérdida de color fue significativa, este comportamiento es similar al mostrado por otras maderas utilizadas en vinificación. Este enfoque da como resultado un perfil sensorial más redondo y equilibrado, caracterizado por notas integradas de tostado, vainilla y «SEGs» que realzan y complementan los atributos típicos de los vinos Tempranillo.
Por último, el uso de SEGs podría representar una importante herramienta para la diferenciación de los vinos, ya que proporciona aromas y sabores ajenos a otras maderas, pero complementarios a los aportados por las llamadas maderas tradicionales. La elaboración y utilización de sus propios SEGs permitiría a las bodegas ampliar su gama de productos introduciendo vinos con características sensoriales no tradicionales.
Fuente: Ives Technical Review. Información extraída de los artículos de investigación “Chemical and sensorial profile of Tempranillo wines elaborated with toasted vine-shoots of different varieties and micro-oxygenation” (Food Chemistry, 2024), “Effect of micro-oxygenation on color of wines made with toasted vine-shoots“ (Journal of the Science of Food and Agriculture, 2024) y “Evolution During Bottle Ageing of Wines Macerated with Toasted Vine-Shoots and Micro-Oxygenation“ (Biomolecules, 2024). Autores: Cristina Cebrián-Tarancón, M. Rosario Salinas, Gonzalo L. Alonso y Rosario Sánchez-Gómez de la Universidad de Castilla (España); Francisco Fernández-Roldán de la Bodega Pago de Jaraba, Villarrobledo (España); Ana M. Martínez-Gil, Ignacio Nevares y María del Álamo-Sanza de la Universidad e Valladolid (España).














