La composición flavonoide de cada vino puede contribuir a la autenticación de variedades de uva, orígenes geográficos e incluso métodos de producción. Esto es cada vez más importante en el mercado mundial del vino para prevenir fraudes y garantizar la confianza del consumidor. Estudios científicos han demostrado el potencial del uso de estos perfiles para la autenticación y clasificación de vinos. Investigadores españoles comprobaron esta técnica analizando y determinando la huella dactilar de vinos de las Islas Canarias.
Esta investigación muestra una aplicación práctica del uso de perfiles integrales de compuestos flavonoides no coloreados como huellas químicas para la autenticación y caracterización de vinos tintos. Utilizando análisis HPLC-UV combinado con análisis estadísticos multivariantes, los autores de este estudio emplearon un método relativamente rápido y rentable para discriminar el origen, la variedad y el envejecimiento de vinos tintos de las Islas Canarias.
Este enfoque podría mejorar el control de calidad y la verificación de autenticidad dentro de la industria del vino, contribuyendo así a la prevención del fraude y al aumento de la confianza de los consumidores.
Catorce flavonoides no coloreados, incluyendo flavanoles (catequina y epicatequina) y flavonoles (miricetina, quercetina e isorramnetina y sus derivados glucósidos/glucurónidos), fueron investigados en más de 200 vinos tintos monovarietales de las Islas Canarias, como continuación de un estudio previo publicado la revista científica doi.org (ver fuente al pie de esta nota). Este es el primer estudio integral sobre flavonoides no coloreados en vinos monovarietales canarios, destacando su potencial como huellas químicas para la caracterización del vino.
Las concentraciones de flavanoles y flavonoles fueron similares a los valores reportados en otras regiones. Las concentraciones de estos flavonoides variaron significativamente según la variedad de uva, la denominación de origen (DO), la isla y el envejecimiento. Las variedades de uva internacionales mostraron, en general, mayores concentraciones de flavonoides no coloreados que las variedades autóctonas.
Se observaron fuertes correlaciones entre flavonoles del mismo grupo químico, así como entre flavonoles y antocianinas, lo que indica una vía de biosíntesis compartida en las uvas y equilibrios en el vino. El análisis de componentes principales reveló relaciones entre los flavonoides individuales. El análisis discriminante lineal (LDA) resultó en altos porcentajes de clasificación correcta por variedad, DO, isla de procedencia y envejecimiento. La precisión de clasificación lograda mediante LDA, excepto en el caso del envejecimiento, mejoró notablemente en comparación con el estudio previo que examinó solo flavonoides visibles, lo que subraya la importancia y eficacia del perfilado de flavonoides no coloreados.
Qué son los flavonoides
Los flavonoides son un grupo de metabolitos secundarios de las plantas que pertenecen a la familia de los polifenoles. Están comúnmente presentes en frutas, verduras, flores y bebidas como el té y el vino, ya que desempeñan funciones biológicas en el reino vegetal. Su estructura química básica se basa en un esqueleto de 15 carbonos compuesto por dos anillos aromáticos conectados por un puente oxigenado. La coloración de los flavonoides depende de su grado de conjugación y del pH del entorno.
La huella dactilar de los vinos tintos
El perfil de flavonoides de los vinos está determinado por factores como la variedad de uva, el terroir, las condiciones ambientales y las prácticas vitícolas. Por lo tanto, la composición flavonoide de cada vino puede contribuir a la autenticación de variedades de uva, orígenes geográficos e incluso métodos de producción. Esto es cada vez más importante en el mercado mundial del vino para prevenir fraudes y garantizar la confianza del consumidor. Estudios científicos han demostrado el potencial del uso de estos perfiles para la autenticación y clasificación de vinos.
Los flavonoides no coloreados, como los flavanoles y flavonoles, generalmente carecen de una conjugación extensa entre sus anillos aromáticos, lo que limita su capacidad de absorber luz visible. En su lugar, absorben principalmente radiación ultravioleta (UV) debido a su estructura aromática y a la presencia de grupos hidroxilo. Sus transiciones electrónicas ocurren a longitudes de onda por debajo del espectro visible (típicamente entre 250 y 350 nm), lo que los hace aparecer incoloros al ojo humano.
Sin embargo, los flavonoides no coloreados a veces pueden presentar un ligero tono amarillento, aunque en los vinos tintos esta coloración sutil suele quedar enmascarada por los intensos pigmentos rojos de las antocianinas. En contraste, los flavonoides coloreados poseen sistemas de conjugación extendidos que absorben luz visible, proporcionando así una coloración distintiva a las plantas y sus productos derivados.
Los flavonoides se distinguen típicamente por los grupos funcionales unidos a su estructura central. Se clasifican principalmente en siete familias según sus variaciones estructurales: chalconas, flavonas, flavonoles, flavandioles (o flavan-3-oles), antocianinas, taninos condensados (o proantocianidinas) y auronas. Mientras que las auronas y chalconas son raras en el vino, las demás se encuentran comúnmente en él.
Los grupos flavonoides más representativos en los vinos tintos pueden dividirse en dos grupos: 1) Antocianinas, pigmentos visibles responsables de los colores rojo, púrpura y azul en flores y frutos; y 2) Flavonoides no coloreados, principalmente flavan-3-oles, comúnmente conocidos como flavanoles, y flavonoles. Los flavanoles están altamente relacionados con los taninos y, por lo tanto, son fundamentales para las características sensoriales del vino, ya que influyen en el sabor amargo y la sensación en boca, mientras que los flavonoles se relacionan más con la persistencia del color.
Qué rol desempeñan los flavonoides en las plantas
Los compuestos flavonoides en las vides se sintetizan durante el desarrollo de la uva. Estos compuestos desempeñan un papel importante en la fisiología de la planta, ya que están involucrados en los mecanismos de defensa contra patógenos y radiación.
Los flavanoles, incluyendo catequina y epicatequina, también se sintetizan a través de la vía biosintética de los flavonoides. Las enzimas clave involucradas en esta síntesis son la leucoantocianidina reductasa y la antocianidina reductasa, que reducen leucoantocianidinas y antocianidinas para producir catequinas y epicatequinas. Los flavonoles se sintetizan a través de la vía biosintética de los flavonoides a partir del aminoácido fenilalanina, mediante la acción de la fenilalanina amonio-liasa y otras enzimas. Los flavonoles comunes en las uvas incluyen quercetina, kaempferol y miricetina. Se acumulan principalmente en la piel de la uva y actúan como protectores frente a la radiación ultravioleta, previniendo daños en los tejidos de la planta.

En un estudio previo se utilizó la composición de antocianinas para caracterizar vinos tintos canarios. La presente investigación busca explorar el uso potencial de los compuestos flavonoides no visibles -flavanoles y flavonoles con menor influencia en el espectro visible- presentes en esos vinos tintos canarios, para evaluar su eficacia como huellas químicas para su autenticación y caracterización, y explorar sus relaciones. Hasta donde se sabe, este es el primer estudio sobre flavonoides no visibles centrado exclusivamente en vinos tintos monovarietales canarios. Se realizó un análisis de correlación para identificar relaciones entre los compuestos flavonoides analizados, junto con técnicas de análisis multivariante para clasificar los vinos tintos monovarietales según sus características.
Antecedentes de la investigación
Las concentraciones totales de flavonoles obtenidas en esta investigación fueron similares a las reportadas en la literatura para otros vinos tintos de regiones relativamente cálidas, como Australia, aunque ligeramente superiores a las reportadas en vinos tintos de Europa. Esto concuerda con el hecho de que la acumulación de flavonoles depende en gran medida de las condiciones ambientales, en particular de la exposición a la radiación UV. De manera similar, las concentraciones de TFla obtenidas en este estudio se encuentran dentro del rango habitual para vinos tintos de otras regiones.
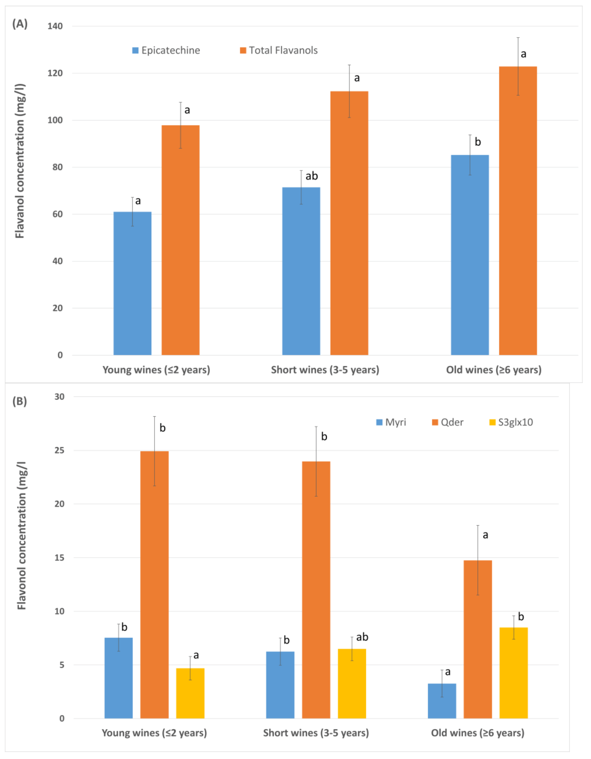
En cuanto a la concentración individual de flavonoles, se detectaron todos los posibles glucósidos de flavonoles (M3gl, L3gl, K3gl, Q3gl, I3gl y S3gl), mientras que solo se identificaron dos compuestos glucurónidos (Q3gu y M3gu). Las formas agliconas de miricetina (Myri), quercetina (Quer) e isoramnetina (Isor) también fueron detectadas. Cabe destacar además que la rutina (Ruti) fue el único flavonol derivado cuantificado que incluía un disacárido en su estructura (glucosa—ramnosa). En general, los derivados de quercetina (Qder) y miricetina (Mder) dominaron el perfil de flavonoles, siendo Q3gu el glucósido más abundante, lo cual concuerda con estudios previos realizados en vinos tintos.

Conclusiones
La variabilidad entre flavonoides individuales y sus derivados indica que el perfil de flavonoles podría servir como marcador químico para la diferenciación de vinos tintos según la variedad de uva, el envejecimiento y el origen, mejorando la trazabilidad y el control de calidad.
Los vinos tintos elaborados con variedades foráneas presentaron mayores concentraciones de flavonoles que los de variedades tradicionales canarias, posiblemente debido a diferentes respuestas a la radiación UV y a la regulación biosintética.
Las diferencias significativas en las concentraciones de flavonoides no visibles según la isla de origen confirman la influencia de los factores geográficos en la composición del vino. Perfiles flavonoides distintivos fueron especialmente evidentes en La Gomera y Lanzarote, mientras que Gran Canaria y Tenerife mostraron un considerable solapamiento.
Los vinos de zonas con mayor exposición solar y estrés ambiental, como Lanzarote o el sur de Tenerife, presentaron concentraciones más altas de flavonoles. Dentro de Tenerife, se observó un fuerte efecto del terroir sobre la composición de flavonoides, aunque la diferenciación por DO utilizando flavonoides no visibles no superó a la lograda con antocianinas.
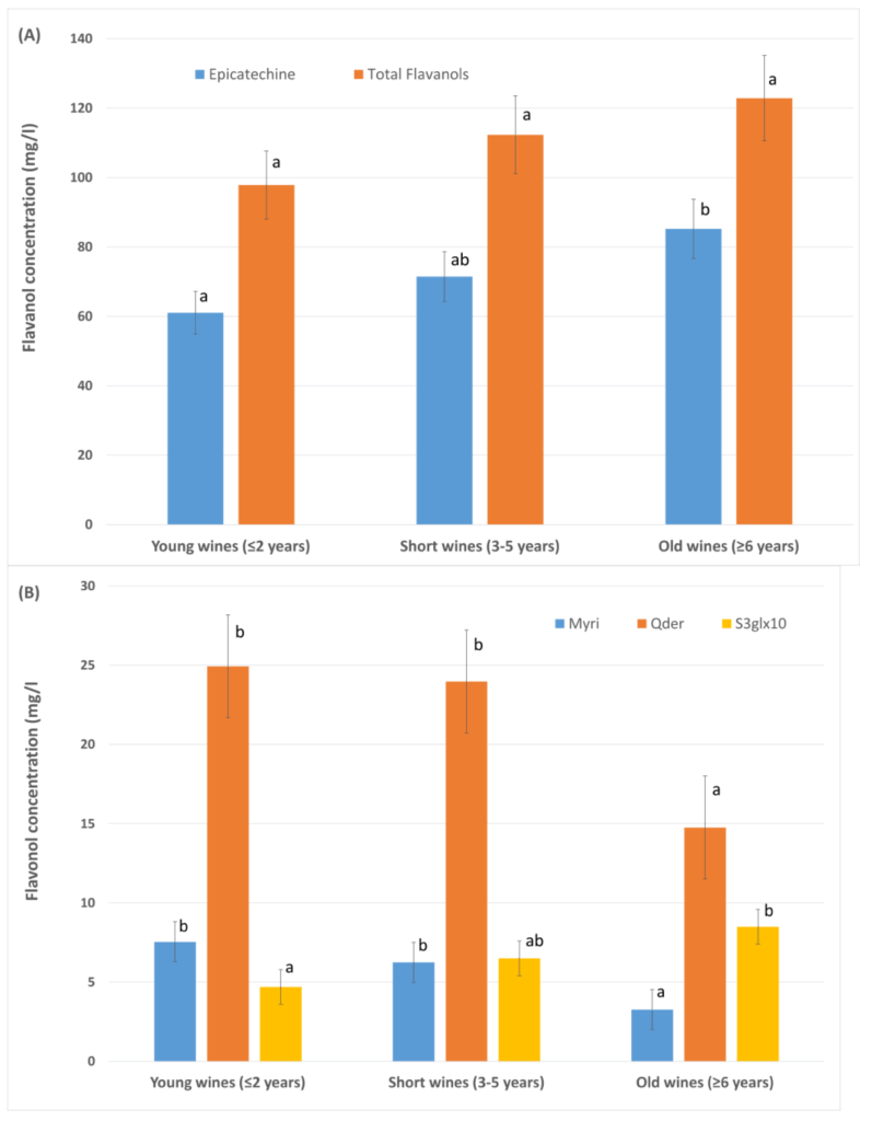
Los flavonoles en general disminuyeron con el tiempo, lo que sugiere que un envejecimiento prolongado reduce compuestos antioxidantes y estabilizadores del color, lo cual podría afectar las propiedades sensoriales y la capacidad de guarda del vino. Notablemente, las concentraciones de S3gl aumentaron con el envejecimiento, aunque se necesita una investigación más profunda al respecto. Se observó una correlación inesperada entre flavonoles y antocianinas, lo que podría contribuir al desarrollo de nuevas estrategias para optimizar la estabilidad del vino y la retención del color.
El análisis multivariante confirmó que los flavonoides no visibles permiten diferenciar eficazmente los vinos tintos según la variedad de uva y el origen geográfico, superando a los flavonoides visibles en precisión de clasificación. Estos hallazgos destacan el potencial del perfilado fenólico combinado con herramientas quimiométricas para la autenticación y garantía de calidad del vino.
Aunque la interacción entre variedad de uva y zona geográfica no fue explorada en este estudio, representa una vía interesante para investigaciones futuras. El objetivo principal de este trabajo fue analizar de forma independiente el impacto de la variedad de uva y el origen geográfico sobre las concentraciones de flavonoides. Sin embargo, un análisis más detallado de esta interacción podría abordarse en estudios posteriores con conjuntos de datos estructurados de manera distinta, para aclarar posibles efectos sinérgicos.
Esta investigación también aporta conocimientos útiles para avances tecnológicos en la producción vinícola, sugiriendo prácticas dirigidas en viñedo y bodega para optimizar la composición fenólica y el potencial de envejecimiento del vino. Un manejo controlado del estrés en el viñedo podría aumentar el contenido de flavonoles, mejorando la calidad del vino y sus propiedades beneficiosas para la salud. Se recomienda seguir investigando la influencia de factores ambientales como la altitud y la gestión del viñedo, así como el uso de enfoques analíticos avanzados y técnicas de aprendizaje automático para mejorar la precisión en la clasificación.
Ver estudio completo AQUÍ
Fuente: https://doi.org. Autores: Jesús Heras-Roger, Néstor Benítez-Brito (Departamento de Ingeniería Química y Tecnología Farmacéutica, Universidad de La Laguna, Tenerife, España) y Carlos Díaz-Romero (Cátedra de Agroturismo y Enoturismo de Canarias ICCA-ULL).














