Este estudio, realizado por investigadores peruanos, evaluó el efecto de la duración de la maceración con orujos y la proporción de «cabeza» separada en el contenido de terpenos, con el objetivo de orientar mejor a los productores durante la fabricación del pisco.
El pisco es un destilado tradicional peruano, y la Moscatel de Alejandría o Italia es una de las principales variedades de uva utilizadas para producirlo. Gran parte de la producción de pisco es artesanal y varía mucho entre regiones y productores, por lo que se necesita más información sobre el impacto de las diferentes operaciones unitarias sobre su composición. Este estudio evaluó el efecto de la duración de la maceración con orujos y la proporción de «cabeza» separada en el contenido de terpenos para mejor orientar a los productores durante la fabricación del pisco.
Piscos Italia
Los piscos hechos con uvas de la variedad Italia se caracterizan por sus aromas florales y afrutados que se deben principalmente a su contenido elevado de terpenos. Los principales terpenos presentes son el linalol, el geraniol y el nerol que se ubican tanto en la piel como en la pulpa de las bayas moscatel.
En el momento de la cosecha, el 4,6 % y 31 % respectivamente de terpenos libres y glicosídicos se encuentran en la piel de las uvas moscatel. Existen diferencias entre estos compuestos: el geraniol y el nerol se localizan principalmente en la piel, mientras que el linalol se distribuye uniformemente entre la piel y la pulpa. Se ha demostrado que la maceración con orujos es una técnica eficaz para aumentar la intensidad de los aromas varietales en vinos y destilados gracias a una mayor extracción de terpenos libres y ligados de los hollejos.
Otras operaciones, como la fermentación y la destilación, también influyen en la concentración final de terpenos en el pisco. Los piscos peruanos son producidos mediante una destilación discontinua en alambiques de cobre de tipo Charentais (Indecopi, 2006) donde las condiciones de destilación afectan la liberación de terpenos glicosídicos y su volatilización. Tradicionalmente y de acuerdo a la Norma Técnica (Indecopi, 2006), sólo se conserva la fracción intermedia del destilado (corazón) y se desechan las fracciones anteriores (cabeza) y posteriores (colas).
El comportamiento de los diferentes compuestos durante la destilación depende de sus puntos de ebullición y de su solubilidad en agua y etanol en las fases líquida y vapor. Los reportes sobre qué fracciones contienen más terpenos son contrastantes. Según Migone-Repetto (1986) y Versini et al. (1993), los terpenos destilan preferentemente en las primeras fracciones del destilado. Sin embargo, Lukić et al. (2011), reportaron que la concentración de la mayoría de terpenos aumenta hacia el final de la destilación, y que la de los hidrocarburos apolares (β-mirceno y α-terpinoleno) aumentaría durante la primera mitad de la destilación. La concentración de linalol, que tiene un punto de ebullición relativamente más bajo y una mayor sensibilidad a la hidrólisis ácida que otros terpenos, disminuiría en las últimas fracciones.
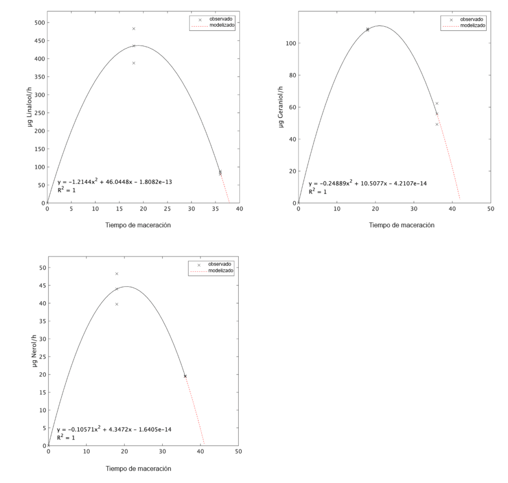
Maceración
Existe gran variabilidad en la forma de producción de pisco entre distintos productores y regiones, y se observan diferencias en la duración de las maceraciones que van desde una fermentación completa con orujos a ningún contacto con la piel (Indecopi, 2006). Este estudio evaluó el efecto de tres tiempos de maceración (0, 18 y 36 h a temperatura ambiente) (Tabla 1) en la concentración de terpenos libres.
El linalol fue el terpeno más abundante, con concentraciones que oscilaron entre 11.900 y 21.243 μg/L, seguido del geraniol y, por último, del nerol. Se observaron diferencias significativas entre todos los tratamientos para los tres compuestos, y los tiempos de maceración más largos resultaron en una mayor extracción de terpenos. Las muestras maceradas durante 36 hs tuvieron aproximadamente el doble de terpenos totales que las muestras sin maceración (0 h). El mayor incremento en concentración se observó para el nerol (269%) y el menor para el linalol (179%).

Se ajustaron curvas polinómicas para evaluar la relación entre el tiempo de maceración y la tasa de extracción (∆Concentración/∆Tiempo) de cada uno de los tres terpenos (Figura 1). La evaluación de las pendientes y de los modelos ajustados mostró que la tasa de transferencia de terpenos fue mayor durante las primeras 18 hs de maceración que durante las últimas 18 hs.
Las tasas máximas de extracción de linalol, geraniol y nerol ocurrieron a las 18.96, 21.1 y 20.6 hs respectivamente. A las 36 hs, las tasas de extracción disminuyeron considerablemente, de 435 a 84 µg linalol/L.h (-80%), de 109 a 56 µg nerol/L.h (-49%) y de 44 a 19.5 µg geraniol/L.h (-56%), lo que indica una disminución de las eficiencias de extracción en el tiempo.
Según los modelos, las tasas de extracción se estancarían en torno a las 40 – 42 hs para todos los compuestos. Esto es favorable desde un punto de vista tecnológico, ya que al estar prohibido el uso de dióxido de azufre (INDECOPI, 2006) y de cualquier otro agente conservante en la producción de Pisco, la duración de cualquier operación pre-fermentativa debiera ser corta.
El contacto prolongado con la piel no sólo favorece el aumento de aromas positivos (por ejemplo, terpenos), sino el de compuestos aromáticos no deseados como los alcoholes C6, y de los polifenoles. Una maceración prolongada también da lugar a otras reacciones que podrían ser negativas para la calidad del vino base, como la oxidación de los polifenoles y, dada la ausencia de SO2, puede provocar deterioro microbiano. Se observó un mayor pardeamiento en los tratamientos más largos en comparación con los controles.
Fracción de cabeza retirada
También se evaluó la separación de diferentes porcentajes de cabeza (0,1 y 2%, respecto al volumen de vino base a destilar) en combinación con diferentes tiempos de maceración (Figura 2), pero no se encontraron diferencias significativas para ninguno de los tres compuestos ni para la interacción tiempo de contacto con la piel* fracción de cabeza. Contrario a Versini et al. (1993), quienes observaron que el linalol, hotrienol y α-terpineol destilan preferentemente en la cabeza durante la producción de grappa, y Migone-Repetto (1986) quienes reportaron que las concentraciones de nerol y linalol fueron 2 y 3 veces (respectivamente) más altas en la cabeza de piscos chilenos que en el corazón, este no fue el caso en el pisco Italia peruano.
Estas diferencias pueden deberse a varios factores como el tipo de alambique utilizado. Los piscos peruanos son producidos a través de una sola destilación en alambiques de cobre tipo Charentais calentado con una llama directa, y sin rectificación (INDECOPI, 2006) mientras que la producción de pisco chileno y de grappa a menudo incluye rectificación, el calentamiento es usualmente hecho usando chaquetas o calentadores a gas, y la forma de los alambiques varía ampliamente.
Los diferentes criterios de corte utilizados para producir estos destilados también contribuyen a estas diferencias. Como indica Piggot (2003), la cantidad de cabeza eliminada en la destilación por lotes afecta principalmente a los compuestos con puntos de ebullición bajos, como la acetona (56°C) y el metanol (65°C), y no a los compuestos con puntos de ebullición más altos, como el linalol, el geraniol y el nerol (>198°C). Esto ha sido confirmado por Lukić et al. (2011), Awad et al. (2017) y Peña y Lillo et al. (2005), quienes observaron que en vinos base destilados por lotes en alambiques de tipo Charentais, la concentración de terpenos aumenta hacia las últimas fracciones del destilado y se encuentran niveles más altos de alcoholes monoterpénicos en las colas de bajo contenido alcohólico que en las cabezas. Otros factores que contribuyen a este comportamiento son la alta polaridad e hidrofilia de estos compuestos. Por lo tanto, la inclusión de mayores proporciones de cabezas en el destilado no aumentaría la cantidad de linalol, geraniol y nerol en los destilados finales, como se ha observado en este estudio.

En conclusión, la maceración con orujos es una técnica efectiva para aumentar la cantidad de terpenos presentes en el pisco Italia, y por lo tanto su carácter varietal y aroma. Sin embargo, la inclusión de mayores proporciones de fracción de cabeza no tuvo un efecto significativo en las concentraciones finales de linalol, geraniol y nerol. La duración del contacto con la piel debe optimizarse con respecto al nivel de madurez de la uva, la variedad y la capacidad tecnológica de la bodega.
Fuente: Ives Technical Review – Estudio «El rol de la duración de la maceración y la proporción de cabeza en el contenido de terpenos del pisco». Autoras: Autoras: Aybe M. Domenech, Joanna M. Gambetta, , Beatriz A. Hatta y Luz M. Molina (UCA Peru)
Agradecimientos: Luis Cisneros y Romina Pedeschi, de la Universidad A&M de Texas, por el suministro de todos los patrones químicos. Un agradecimiento especial a Andrea Belancic, Eduardo Agosin y Lenka Torres del Centro de Aromas y Sabores, Pontificia Universidad Católica de Chile, por su apoyo técnico en el análisis de terpenos. Los autores también desean expresar su agradecimiento a Peter Watkins, que colaboró en el análisis estadístico de los datos.












