AEB, empresa italiana de biotecnología aplicada a la industria de bebidas y alimentos, con sede argentina en Maipú, Mendoza, realizó recientemente un estudio en colaboración con la Universidad de Módena y Reggio Emilia, Italia, sobre la fluidez de la membrana en cepas de levadura enológica expuestas a diferentes condiciones de estrés, con la finalidad de identificar cepas tolerantes y coadyuvantes capaces de garantizar un excelente rendimiento fermentativo.
Atentos a las necesidades de las bodegas y de todos los profesionales del vino, la empresa italiana AEB cuenta con una estructura de Investigación y Desarrollo conformada por una red de 200 expertos, enólogos, agrónomos, biólogos, biotecnólogos y tecnólogos de alimentos.
Es precisamente esta heterogeneidad científica la clave de sus innovaciones, y de este modo comenzaron a estudiar la nutrición varietal, levaduras seleccionadas, antioxidantes naturales para preservar la longevidad de las bebidas y detergentes biodegradables en más del 95% que ayudan a reducir el consumo de agua y energía. Además, trabajan en colaboración con universidades y centros de investigación de todo el mundo, lo que ha jugado un papel fundamental y les ha permitido desarrollar nuevas soluciones biotecnológicas y tecnológicas.
Uno de los estudios más recientes, realizados en conjunto con la Universidad de Módena y Reggio Emilia, Italia, pone de relieve los resultados de la fluidez de la membrana en cepas de levadura enológica expuestas a diferentes condiciones de estrés. La modulación de la fluidez evidencia una estrategia de las células de levadura para adaptarse a dicho estrés. Este parámetro es útil para identificar cepas tolerantes y coadyuvantes capaces de garantizar un excelente rendimiento fermentativo.
Las levaduras son organismos clave involucrados en una amplia gama de aplicaciones biotecnológicas, incluida la producción de bebidas alcohólicas. Durante la fermentación alcohólica, las células de levadura están expuestas a diversos factores de estrés, como el estrés osmótico causado por una elevada concentración de azúcar en las primeras etapas del proceso, variaciones de temperatura, reducción significativa de nutrientes, acumulación de metabolitos, y en particular, altas concentraciones de etanol.
El efecto del estrés por etanol en la fluidez de la membrana
La fluidez de la membrana, siendo un factor importante para el mantenimiento de la integridad de la membrana y la adaptación de las células de levadura, ha sido estudiada en condiciones de estrés por etanol. En esta investigación preliminar, se seleccionó la cepa UMCC 2592 entre las cepas de la especie Saccharomyces cerevisiae más tolerantes al etanol, ya estudiada por sus excelentes capacidades fermentativas.

Después de 24 horas de tratamiento con un 10% v/v de etanol, la cepa S. cerevisiae (UMCC 2592) mostró un aumento significativo en la fluidez de la membrana en comparación con la muestra control sin tratar. Sin embargo, a concentraciones de etanol del 14% v/v al 18% v/v, los valores de fluidez disminuyeron (Fig. 1). Este comportamiento parece ser atribuible a una respuesta adaptativa de las células de levadura, llevada a cabo para reducir el impacto fluidificante inducido por el etanol.
El efecto de la revitalización a bajas temperaturas
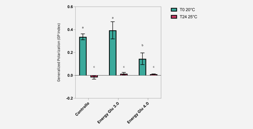
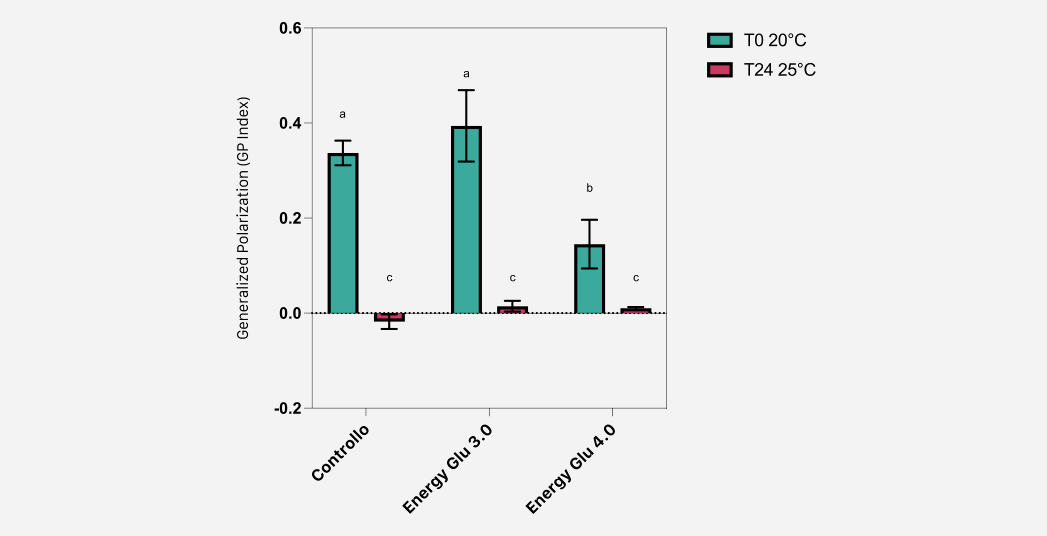
La revitalización de cepas de Levaduras Secas Activas (LSA) a bajas temperaturas -que no son óptimas para las levaduras- representa un desafío en la bodega, tanto por razones prácticas como económicas. Con este objetivo, se ensayaron dos nutrientes para la rehidratación con el fin de evaluar su efecto en el proceso de revitalización de la cepa LSA S. cerevisiae UMCC 2592.
Los resultados muestran que la cepa revitalizada a 20°C, en todas las condiciones presenta una fluidez de la membrana reducida en comparación con la misma cepa cultivada a 25°C durante 24 horas. Este comportamiento es consistente con lo reportado en el informe, que atribuye el endurecimiento de la membrana a la revitalización que se produce a temperaturas inferiores a las ideales para la levadura.
Sin embargo, después de 24 horas a una temperatura de 25°C, se observa una reducción de la rigidez de la membrana y valores de GP más bajos. En particular, la cepa revitalizada con un nutriente rico en oligoelementos altamente asimilables y glutatión patentado por AEB, el Fermoplus Energy Glu 4.0, presenta variaciones menos significativas en el índice GP en comparación con las otras dos, lo que sugiere una mayor eficacia de este nutriente para reducir la rigidez de la membrana a 20°C y, en consecuencia, una menor fluctuación de la fluidez después de 24 horas a 25°C (Fig. 2).

Nutriente para la rehidratación de la levadura rico en oligoelementos
El producto de AEB, Fermoplus® Energy Glu 4.0, es un nutriente para la rehidratación de la levadura rico en oligoelementos altamente asimilables y glutatión. Una fórmula que, gracias a los aminoácidos específicos disponibles, los esteroles, el glutatión natural y los minerales, permite una rehidratación acorde con la creciente orientación de las empresas hacia un ahorro energético, sin interferir negativamente en el crecimiento celular. Su fórmula rica en aminoácidos y vitaminas naturales, da como resultado la obtención de una levadura que, desde su reactivación, tiene un vigor significativamente superior al normal, influyendo positivamente en su velocidad de multiplicación.
Al proporcionar aminoácidos directamente asimilables, hace que la célula no necesite sintetizarlos, ahorrando así la energía que puede dedicar a su multiplicación, especialmente en la fase de hidratación, donde el gasto energético es mayor. Los esteroles naturales y los oligoelementos minerales, mantienen una fluidez de membrana superior a las versiones anteriores de productos similares; garantiza un inicio perfecto de la fermentación y su continuación regular, gracias a la elevada elasticidad de la membrana celular rehidratada en presencia de estos compuestos.
A través de una especial lisis enzimática de las células de levadura, aumenta el contenido de glutatión, que actúa como antioxidante, asegurando mejores condiciones para obtener el máximo rendimiento de la fermentación y reducir el envejecimiento celular. Esta nueva frontera en nutrición permite a las levaduras expresar completamente sus características, que normalmente no se alcanzan debido a las alteraciones metabólicas.















